Results panel
The panel shows the results of the analysis. The following data are displayed:
- Calibration value [px/mm]
- Mean IMT [mm]: Intima Media Thickness. It is computed as an average value of the data present in the IMT chart.
- Minimum IMT [mm]: minimum value of Intima Media Thickness. It is computed on the data present in the IMT chart.
- Maximum IMT [mm]: maximum value of Intima Media Thickness. It is computed on the data present in the IMT chart.
- Std. dev IMT [mm]: standard deviation of Intima Media Thickness. It is computed on the data present in the IMT chart.
- Mean diameter [mm]: value of the average diameter. It is computed as an average value of the diameter data present in the Diameter chart.
- Systolic diameter [mm]: value of the diameter in systole. It is computed as an average value of the systolic diameters present in the Diameter chart.
- Diastolic diameter [mm]: value of the diameter in diastole. It is computed as an average value of the diastolic diameters present in the Diameter chart.
- Blood pressure [mmHg]: diastolic pressure and systolic pressure.
- Distension [mm]: stroke change in diameter.
- Compliance [10-6·m2·kPa-1]: absolute change in lumen area for a given pressure change.
- Distensibility [10-3· kPa-1]: relative change in lumen area during systole for a given pressure change.
- Carotid Stiffness [m·s-1]: Stiffness value computed by Bramwell-Hill equation.
- Young’s elastic modulus [kPa]:
where:
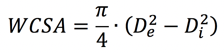
De = External Diameter (between the media-adventitia interfaces) measured in diastole.
Di = Internal Diameter (between the lumen-intima interfaces) measured in diastole.
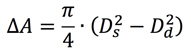
Ds = Systolic Diameter (external).
Dd = Diastolic Diameter (external), Dd = De
WCSA = Wall Cross Section Area
ΔA = Stroke change in lumen area.
Ad = Diastolic Area.
Ps = Systolic Pressure.
Pd = Diastolic Pressure.
ΔP = Ps - Pd
ρ = Blood density: is assumed to be constant and equal to 1.06 g/cm3.
These data can be exported in the Document Data. See here for export details.








